El departamento de salud de Elda, al que están adscritos catorce municipios de la comarca del Medio Vinalopó, ha entrado en el estado de alarma decretado por el Gobierno central con dos localidades, Elda y Pinoso, con calificación de riesgo muy alto, que es el máximo nivel de alerta para el control de la transmisión del covid-19 fijado por el Ministerio de Sanidad.
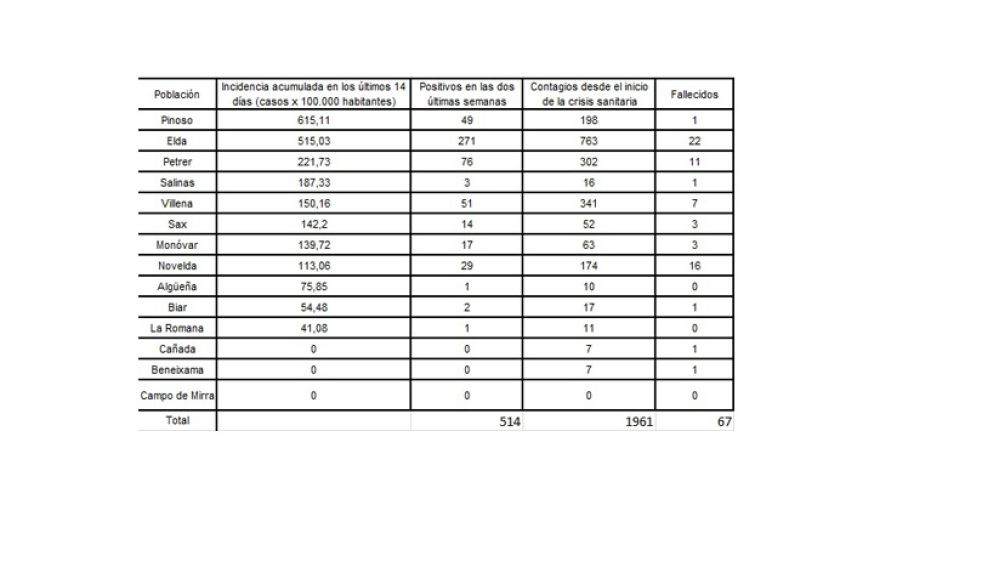
En esa situación de riesgo muy alto se encuentra cualquier área geográfica en la que la incidencia acumulada en los últimos 14 días se sitúe por encima de los 250 casos por 100.000 habitantes. En Pinoso, se registra un índice de 615 casos por 100.000 habitantes y en Elda de 515.
Para la evaluación del riesgo de transmisión de la pandemia, las comunidades autónomas y el Ministerio de Sanidad han consensado en el seno del Consejo Interterritorial del Sistema Nacional de Salud una escala que fija una valoración baja de riesgo cuando hay entre 25 y 50 casos por 100.000 habitantes como incidencia acumulada en 14 días. A continuación se sitúa un nivel medio de riesgo, delimitado por entre 50 y 150 casos por 100.000 habitantes.
En esa escala de valoración, se considera que los territorios que acumulan en las dos últimas semanas entre 150 y 250 casos por 100.000 habitantes presentan un riego alto y los que tienen más de 250 casos muy alto o extremo
Según la estadística de la Conselleria de Sanidad respecto a la evolución de la pandemia, Petrer está al borde del máximo nivel de altera, con 221 casos por 100.000 habitantes, mientras que Villena también se encuentra en nivel alto, presentando una incidencia acumulada en dos semanas de 150 casos por 100.000 habitantes.
Por debajo de 150 casos en los últimos 14 días y por tanto en los niveles medio y bajo están Sax (142 casos por 100.000 habitantes), Monóvar (139), Novelda (113), Algüena (76), Biar (54) y La Romana (41).
Por su parte, Cañada, Beneixama y Campo de Mirra no tienen ningún caso de covid-19 detectado en las dos últimas semanas.

En el departamento de salud de Elda se han diagnosticado en 14 días 514 contagios y desde el inicio de la crisis sanitaria 1961. La pandemia deja hasta el momento en el área de salud 67 personas fallecidas por el virus.

